Disponible en Mouser Electronics (http://www.ti.com/product/TLV62569/technicaldocuments?HQS=TI-null-null-mousermode-df-pf-null-wwe&DCM=yes) el convertidor Buck sincronizado de alta eficiencia de Texas Instruments pueden suministrar corrientes hasta 2 A. En este artículo se describe brevemente este componente y su uso.
El TLV62566 es un convertidor Buck sincronizado de 2 A disponible en envoltorio SOT y con características de alta eficiencia. En la figura 1 tenemos su envoltorio.

Este convertidor puede operar con un rango de tensiones de entrada de 2,6 V a 5,5 V y su rango de tensiones de salida va de 0,6 V hasta la tensión de entrada. El dispositivo tiene una baja resistencia de conducción de 100/60 mOhms.
La corriente quiescente es muy baja, del orden de 35 uA y la frecuencia típica de conmutación de 1,5 MHz. El convertidor tiene recursos de arranque suave para minimizar los transitorios en la carga.
La operación se realiza por modulación de ancho de pulso (PWM) y en la condición de carga ligera (bajo consumo) el dispositivo entra automáticamente en la condición de ahorro de energía (PSM).
En la condición de shutdown la corriente consumida cae a menos de 2 uA.
En la figura 2 tenemos un circuito básico de aplicación.

Como se puede ver en el gráfico de la figura 3, la eficiencia del dispositivo es muy alta pasando del 90% con carga de 2 A y tensión de salida de 3,3 V.

En el datasheet disponible en el enlace al principio del artículo podemos tener detalles importantes para el diseño como las funciones de los pines y las especificaciones.
La figura 4 muestra los bloques funcionales del TLV62569.

Finalmente en la figura 5 tenemos otro circuito práctico de aplicación para una entrada de 2,5 V a 5,5 V y salida de 1,8 V con una corriente máxima de 2,0 A.

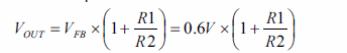
En el datasheet se da la fórmula para fijar la tensión de salida en función de R1 y R2. Entonces tenemos:

La finalidad del capacitor C3 (opcional) es mejorar la respuesta a los transitorios.



