En la figura tenemos una interesante aplicación sugerida por Microchip (www.microchip.com) en la que la referencia de tensión para un convertidor A / D está determinada por la temperatura de un sensor. El circuito utiliza como sensor un termistor en paralelo con un resistor para adecuar la respuesta del sistema. La ganancia del circuito, en estas condiciones es dada por la fórmula:

Donde:
Vout: amp es la tensión de salida en el amplificador operacional
Vin: amp es la tensión aplicada en la entrada
Rntc es la resistencia presentada por el termistor a la temperatura tomada como referencia.
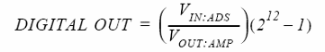
En este circuito una referencia de tensión de 2,5 V de precisión se utiliza para generar una tensión de 0,276 V en la entrada del amplificador operacional. Cuando la temperatura del NTC es 0o C la resistencia del termistor es aproximadamente 32,650 ohms. El valor del resistor en paralelo y del resistor de 10k ohms de película metálica es de 7655,38 ohms. Esto da una ganancia para el circuito de 14,94 V / V. Cuando la temperatura del NTC es de 50 ° C la resistencia del termistor será de aproximadamente 3601 ohmios y con ello la ganancia del amplificador será de 5,8226 V / V. Con estas características tenemos la siguiente fórmula para la función de transferencia del convertidor que escanea la señal de entrada:




