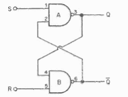
La figura muestra cómo conectar un 7400 para obtener una configuración biestable. El circuito debe ser alimentado con 5 V.

Biestable 7400
La figura muestra cómo conectar un 7400 para obtener una configuración biestable. El circuito debe ser alimentado con 5 V.
