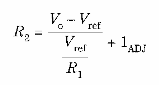
Encontrado en una documentación de Linear Technology de la década de 1990, este circuito tiene el voltaje ajustado por los resistores R1 y R2 de acuerdo con la fórmula dada en el diagrama.

Regulador ajustable 3.3V

Regulador ajustable 3.3V
Encontrado en una documentación de Linear Technology de la década de 1990, este circuito tiene el voltaje ajustado por los resistores R1 y R2 de acuerdo con la fórmula dada en el diagrama.

