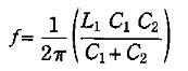
Encontrado en una Elektor Electronics desde los años 90, este circuito puede generar señales de 1 kHz a 9 MHz, dependiendo de los componentes utilizados. Los transistores son comunes y admiten equivalentes.

Generador sinusoidal LC

Generador sinusoidal LC



