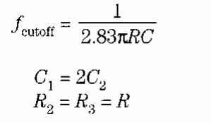
Este filtro de segundo orden se encontró en la documentación estadounidense anterior y se puede aplicar a otros operacionales. La frecuencia es de 10 kHz, pero se puede cambiar de acuerdo con las fórmulas dadas.

Filtro pasa bajas de ganancia 1

Filtro pasa bajas de ganancia 1



